交流互访
香港特别行政区政府教育局内地考察团到访北师大珠海校区
香港特别行政区政府教育局学校质素保证分部总主任李定远一行30人到访北京师范大学珠海校区。北师大珠海校区港澳台事务办公室、乐育书院、继续教育与教师培训学院相关负责人及工作人员热情接待。
https://www.bnuzh.edu.cn/zhxw/d0b13a86448a4c36abf742340c4b87a3.htm

科研动态与学术交流
国家自然科学基金委员会管理科学部宏观管理与政策学科“十五五”资助战略研究项目粤港澳大湾区专题研讨会在北京师范大学珠海校区召开
由国家自然科学基金委员会管理科学部指导,中国科学技术大学公共事务学院主办,北京师范大学政府管理学院与国家安全与应急管理学院联合承办,北京师范大学人文和社会科学高等研究院政府治理研究中心协办的宏观管理与政策学科“十五五”资助战略研究项目粤港澳大湾区专题研讨会在北京师范大学珠海校区召开。本次研讨会聚焦宏观管理与政策学科的发展态势与未来方向、粤港澳大湾区治理等议题,来自宏观管理与政策学科各领域资深专家、国家自然科学基金委管理科学部与学科战略项目组成员,以及清华大学、北京大学、武汉大学、中山大学、华南理工大学、香港科技大学(广州)、香港城市大学、澳门大学、澳门城市大学等近30所高校和科研院所的80余名专家学者共同参与研讨会。开幕式由北京师范大学政府管理学院党委书记于海波主持。
https://mp.weixin.qq.com/s/0KsAGGNBNsKJoIPddrPBsA

北师大一带一路学院官网入驻中国一带一路网
近日,北京师范大学一带一路学院受邀成为中国一带一路网(www.yidaiyilu.gov.cn)官方链接的首个高校院所。中国一带一路网是由国家发展改革委和新华社共同指导,新华社中国经济信息社与国家信息中心共同主办的推进“一带一路”建设官方网站。此次“国家级媒体平台+高校智库”的云端“链”接,标志着北京师范大学多年来服务高质量共建“一带一路”的相关工作再次获得社会认可。
https://news.bnu.edu.cn//zx/zhxw/7e7986b8a9ad4bdeb336df14943ed9ab.htm

一带一路学院入选中国智库综合评价“2025年AMI智库入库单位”
由中国社会科学院中国社会科学评价研究院主办的第八届中国智库建设与评价高峰论坛在京举行。来自全国多个省市的智库主管方、建设方代表以及相关专家学者参会,围绕智库特色品牌建设及实践经验展开专题研讨。
会上公布了中国智库综合评价研究项目(2025)评审结果,北京师范大学一带一路学院入选中国智库综合评价“2025年AMI智库入库单位”,参评成果《高质量共建“一带一路”》丛书获选为“中国特色新型智库建设十年回顾参考案例”。
https://news.bnu.edu.cn//zx/xzdt/0d098d59026a481489e9cd3423ddd18c.htm

文理学院15位教师入选全球前2%顶尖科学家榜单
当地时间9月19日,斯坦福大学(Stanford University)和国际权威学术出版社爱思唯尔(Elsevier)共同发布2025年全球前2%顶尖科学家榜单(World's Top 2% Scientists)。榜单分为“终身科学影响力排行榜(Career-long Impact)”和“年度科学影响力排行榜(Single-year Impact)”两大部分。
文理学院共计15位教师入选,较去年增加9位,其中,史培军、朱晓夏、袁荣、刘宝元、崔孟超、杨晓晶、冯世平等7位教师入选“终身科学影响力排行榜(Career-long Impact)”;史培军、朱兴江、黄伟(自然)、刘宝元、易竹、闵锐、杨晓晶、马淑兰、杨逸、崔孟超、柳浪、黄彬斌等12位教师入选“年度科学影响力排行榜(Single-year Impact)”。
https://mp.weixin.qq.com/s/n4MDI96nytFmDb6FKnsBVQ

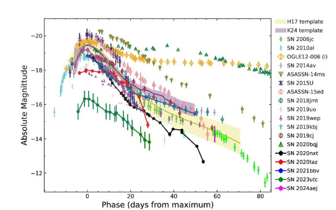
研究成果 | 文理学院物理系朱兴江团队在超新星观测研究中取得重要进展
文理学院物理系朱兴江研究员团队,联合意大利帕多瓦天文台、中国科学院云南天文台、清华大学、厦门大学、日本京都大学等国内外团队,在国际权威期刊《天文与天体物理学》(Astronomy & Astrophysics) 相继发表两篇 Ibn 型超新星研究论文:“Massive stars exploding in a He-rich circumstellar medium. X. Flash spectral features in the Type Ibn SN 2019cj and observations of SN 2018jmt”和“Massive stars exploding in a He-rich circumstellar medium. XI. Diverse evolution of five Ibn SNe”。
https://mp.weixin.qq.com/s/wrXplr5I2E2UFQh2-Wcdzw

成果速递丨地理系张兵伟副教授课题组在国际生态学权威期刊发文揭示控制实验和长期观测研究
中草地生产力对降水变化响应差异的干湿依赖性
文理学院地理系张兵伟副教授课题组在美国生态学会旗舰期刊《Ecology》在线发表了题为“Aridity-dependent response bias of grassland productivity to precipitation in experiments compared to observations”的研究论文。该研究首次基于全球配对的原位控制实验与长期观测数据发现:控制实验对草地地上净初级生产力响应降水变化的评估存在显著的“干湿偏差”——即在较干旱区,实验低估了降水变化的影响;而在较湿润区,实验反而高估了其效应。这一发现为当前基于实验数据的生态系统模型预测提供了关键警示与修正方向。
https://mp.weixin.qq.com/s/coj_U6pa1w6QBCAbhCg_zg

成果速递丨吴吉东教授团队在《Earth's Future》发文揭示全球水面光伏系统的能源–水–土地的协同作用机制
2025年9月6日,北京师范大学国家安全与应急管理学院吴吉东教授团队在国际权威期刊《Earth's Future》(中科院一区TOP期刊,IF=8.2)发表题为“The Energy–Water–Land Nexus of Global Water‐Surface Solar Photovoltaics”的研究论文。该研究指出了水面光伏在清洁能源生产、节水和节约土地之间具有独特的协同作用,在发电、节水、土地保护方面呈现快速增长趋势,揭示了水面光伏为可持续发展提供了一条可扩展的途径。
https://mp.weixin.qq.com/s/rmFeuqGv_q14djaeBvY9pg

成果速递丨张笑寒老师团队发文揭示了震后信息传播的时空格局与社会感知的耦合机制
北京师范大学国家安全与应急管理学院张笑寒老师团队在Geomatics , Natural Hazards and Risk期刊在线刊发了题为“Public Perception of Earthquake Events: Evidence from Social Media – A Case Study of the 2025 Dingri Earthquake”的研究论文。该研究以2025年1月7日发生在西藏日喀则市定日县措果乡的6.8级地震为案例,基于新浪微博社交媒体数据,创新性地构建了“主题–情感–损失”三维分析框架,利用深度学习技术全面剖析震后公众的关注焦点、情绪变化及感知到的物理损失特征,揭示了震后信息传播的时空格局与社会感知的耦合机制。这一研究不仅拓展了社交媒体数据在地震灾害研究中的应用边界,也为数字化应急决策提供了可复制的技术路径。
https://mp.weixin.qq.com/s/qXQL-H4KDjOuxx2Cv-_Dxg

成果速递丨尖端工程促进选择性水氧化生成羟基自由基高效除污
环境风险智慧控制教研中心张军副研究员、凌力教授与澳门科技大学Songying Qu博士、清华大学深圳研究院Ruiquan Yu博士、中国科学院生态环境研究中心Jie Mao博士等人合作,揭示了纳米尖端工程促进光电催化单电子(1e−)水氧化(WOR)生成羟基自由基(•OH)的微观过程机制,实现了水中新污染物的高效去除。该研究以“Nanotip-Engineered TiO2 Photoanodes Enable Efficient Hydroxyl Radical Synthesis via Selective Water Oxidation”为题,发表于Nano Letters。
https://mp.weixin.qq.com/s/0BBoTcWo73A9u_Djxgzttw

成果速递丨Sn-Sb-CNF膜中双金属协同促进新污染物电过滤氧化
未来技术学院环境风险智慧控制教研中心张军副研究员与清华大学深圳研究院Ruiquan Yu博士、香港大学Wentao Zhang博士、苏州科技大学Bingdang Wu博士等人合作,构建了新型的Sb-Sn共修饰碳纳米纤维(CNF)膜,评估其用于电过滤氧化去除新污染物的效能,揭示双金属协同的微观过程机制。该研究以“Dual-Metal Synergy in Sn-Sb-CNF Membrane Anodes Boosts Electro-Filtration Oxidation of Emerging Contaminants”为题,发表于Advanced Materials。
https://mp.weixin.qq.com/s/gcmH_Su7DmfY-5d6noVvUQ

成果速递丨未来技术学院敖志敏教授团队在理论计算指导实验开发双功能VOCs氧化催化剂方面取得新进展
未来技术学院环境表界面行为教研中心博士生李钧天在环境催化领域高水平期刊《Applied Catalysis B: Environment and Energy》上发表了一篇题为“Electronic cooperativity in MOF-confined single-atom alloys: A DFT-guided strategy for dual-functional catalysis towards simultaneous VOCs oxidation and CO resistance”的研究论文,敖志敏教授为通讯作者。
https://mp.weixin.qq.com/s/RJm3hFb5G03JkMEdzjz8ig

国际学者学生
北京师范大学珠海校区喜迎2025级国际新生
9月14日,珠海校区凤凰书院迎来了2025级国际新生。来自全球29个国家的新生怀揣梦想与期待,开启在凤凰书院的学习生活新旅程。本届新生生源地域分布广泛,涵盖亚洲、美洲、欧洲、非洲等多个地区,新增了加拿大、巴西、土库曼斯坦、韩国、南苏丹等国家的国际学生,充分展现了书院的国际化特色。
https://mp.weixin.qq.com/s/6d8MhTqz7uvRihGGw9weTw

一带一路学院迎来了2025级MBA与MPA项目的国际新生。截至目前,来自23个国家的45名国际学生顺利注册报到。他们怀揣梦想,跨越山海,即将在美丽的南国北师,开启人生篇章,再启丝路新程。
https://brs.bnu.edu.cn/zdgz/6a04bd863f50446d80193b63056875c2.htm


